Пропиленоксид
ПРОПИЛЕНОКСИД (метилоксиран, 1,2-пропиленоксид), мол.м. 5,08; бесцв. прозрачная жидкость; т.пл. — 112°С, т. tкриткип. 34,3°С, 0°С/210·мм рт. ст.;
0,8311; 1,3660;
tкрит 209,15°С, ркрит 4,92 МПа; h 0,28 мПа·с (25 °С), 0,41 мПа·с (0°С); m 6,61·10-30 Кл·м: С_ 1,97 кДж/(кг·К);
6,54 кДж/моль,
27,92 кДж/моль,
-191 кДж/моль,
—92,82 кДж/моль (жидкость); ур-ние температурной зависимости давления пара: lgp (мм. рт. ст.) = 1722,7/T+ + 8,48 (243-306 К). Раств. в большинстве орг. р-рителей; в воде при 10 °С раств. 40,8% по массе пропиленоксида, при 20 °С-40,1%. В пропиленоксиде при 10°С раств. 10,4% Н2О, при 20°С-12,4%. При повыш. давлении пропиленоксид с водой образует азеогропы: т.кип. 69 °С (0,2 МПа, 0,1% по массе Н2О) и т.кип. 86,5 °С (0,4 МПа, 0,2% Н2О). При пониж. т-рах кристаллизуется гидрат С3Н6О·16Н2О, т.пл. -3°С.

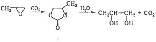
Пропиленоксид-один из наиб. распространенных оксидов олефинов (см. Олефинов оксиды). Для него характерны р-ции присоединения, обусловленные относит. легкостью размыкания цикла. Наиб. распространенная р-ция-гидратация с образованием пропиленгликоля. Побочные продукты ди-, три-и полигликоли. Гидратация пропиленоксида с использованием СО2 (120-160 °С, 0,5-4 МПа) протекает селективно с образованием монопропиленгликоля (кат.-четвертичные соли аммония и фосфония, третичные амины, галогениды щелочных металлов); промежуточно образуется пропиленкарбонат (I):

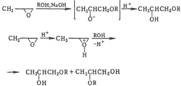
Со спиртами и фенолами пропиленоксид образует простые эфиры гликолей: в присут. щелочей-преим. первичный эфир, в при-сут. к-т-смесь первичного и вторичного эфиров в равном отношении:

При взаимод. с карбоновыми к-тами в присут. солей щелочных металлов пропиленоксид превращ. в гидроксизамещенные сложные эфиры; при взаимод. с галогеноводородами дает соответствующие галогенгидрины, с NH3-моно-, ди- или триизопропаноламины. Гидрирование в присут. N1 приводит к 1-пропанолу, восстановление амальгамой Na, Na в жидком NH3 или LiAlH4 - к изопропанолу. С альдегидами и кетонами пропиленоксид образует циклич. ацетали, с кетенами g-лактоны, напр.:

Изомеризация пропиленоксида при 240-500 °С в присут. SiO2, A12O3, пемзы и др. катализаторов идет с образованием смеси пропионового альдегида, ацетона и аллилового спирта.
В присут. разл. катализаторов (щелочи, к-ты Льюиса, металлоорг. соед., амины, спирты, фенолы) пропиленоксид легко поли-меризуется в полипропиленоксид [—ОСН2СН(СН3)—]n с мол. массой до неск. миллионов. Полимеризация пропиленоксида в массе в присут. пропиленгликоля при 100-160°С приводит к поли-пропиленгликолю (ф-ла II); в присут. глицерина, пента-эритрита или сорбита-к полиоксипропиленполиолам, напр. соед. III в случае глицерина.


При сополимеризации с этиленоксидом и пропиленгли-колем в присут. щелочных катализаторов или этилендиамина пропиленоксид образует блоксополимеры - соотв. проксанолы или проксамины. В р-ре пропиленоксид легко сополимеризуется с аллилгли-цидовым эфиром с образованием пропиленоксидного каучука.
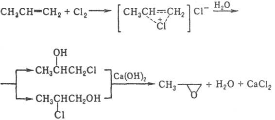
Получают пропиленоксид гл. обр. хлоргидринным и пероксидным методами. Схема хлоргидринного метода:

Пропилен и С12 смешивают в эквимолярных кол-вах с избытком Н2О (4-7-кратный); р-цию проводят при 35-40 °С, поддерживая концентрацию пропиленхлоргидрина не более 4-6% по массе для уменьшения кол-ва побочных продуктов-дихлорпропана и дихлорпропилового эфира. Избыток пропилена отделяют и возвращают в р-цию. На след. стадии при комнатной т-ре водный р-р смеси пропи-ленхлоргидринов обрабатывают избытком известкового молока-р-ра Са(ОН)2. Образующийся пропиленоксид отгоняют для предотвращения гидратации в гликоль. Недостаток процесса - использование С12 и образование больших кол-в разб. (5-6%) р-ра СаС12. Наиб. экономичная разновидность процесса - комбинирование с электролитич. произ-вом С12 и NaOH; при этом гидролиз пропиленхлоргидрина осуществ-ляют при 80 °С р-ром NaOH после электролиза, а образующийся р-р NaCl используют для растворения NaCl, направляемого на электролиз.
Пероксидный способ синтеза пропиленоксида основан на окислении олефинов надкислотами (Прилежаева реакция) и гидропероксидами изобутана и этилбензола. В первом варианте синтеза пропиленоксид образуется при взаимод. пропилена с надуксус-ной или надпропионовой к-той, получаемыми окислением ацетальдегида или пропионовой к-ты; соотв. этот вариант синтеза не находит широкого применения. Второй вариант синтеза осуществляют по схемам 1 и 2:



Селективность превращения в пропиленоксид-90-99%.
Иногда применяют также эпоксидирование пропилена гидропероксидом пропилбензола (кумольный метод).
Пропиленоксид- исходное сырье для получения пропиленгликоля, про-пиленкарбоната, изопропаноламинов, полиоксипропилен-полиолов, полипропиленоксида, пропиленоксидных каучу-ков, пропиленсульфида, нек-рых ПАВ; промежут. продукт в синтезе эфиров пропиленгликоля, эпихлоргидриновых кау-чуков, полиуретанов и полиэфирных смол.
Пропиленоксид-горючая жидкость; КПВ 2,1-21,5% по объему. ПДК 1 мг/м3.
Пропиленоксид обладает цитотоксичным и мутагенным действием, вызывает расстройства гемодинамики; ЛД50 580 мг/кг (мыши, внутрижелудочно).
Объем мирового произ-ва ок. 3 млн.т/год (1987).
Лит.: Kirk - Othraer encyclopedia, 3 ed., v. 19, N.Y., 1982, p. 246-74.
Б. Б. Чесноков.