Поливинилхлорид
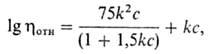
ПОЛИВИНИЛХЛОРИД (ПВХ, вестолит, хосталит, вин-нол, корвик, сольвик, сикрон, джеон, ниппеон, луковил, хелвик, норвик и др.) [—CH2CHCl—]n, бесцв. термопластичный полимер; мол. м. (10-150)·103; плотн. 1,35-1,43 г/см3, насыпная плотн. порошка 0,4-0,7 г/см3; т. стекл. 75-800C; т-ра текучести 150-2200C. Раств. в дихлорэтане, циклогексаноне, хлор- и нитробензоле, ТГФ, ДМФА, ограниченно-в бензоле, ацетоне, не раств. в воде, спиртах, углеводородах. Стоек в р-рах щелочей, K-T, солей; атмосфере- и грибостоек. Трудногорюч. При т-рах выше 1200C начинается заметное отщепление HCl, протекающее количественно при 300-3500C. При более высоких т-рах наблюдается разрыв полимерных цепей с образованием углеводородов. Физ.-хим. св-ва поливинилхлорида зависят от способа, рецептуры и режима его получения. Важный показатель качества поливинилхлорида, определяющий его назначение,-величина К (константа Фикентчера), характеризующая среднюю мол. массу поливинилхлорида. Ее определяют по ур-нию:

где hОTH- относит. вязкость р-ра поливинилхлорида, с - концентрация р-ра (в г/100 мл), k= К ·10 -3. Др. показатели качества: насыпная плотность, содержание влаги, гранулометрич. состав, способность поглощать пластификатор, константа скорости элиминирования HCl.
Получают поливинилхлорид полимеризацией винилхлорида. Скорость процесса в р-ре подчиняется кинетич. ур-нию для гомог. радикальной полимеризации. Однако поскольку поливинилхлорид не раств. в винилхлориде, полимеризация в массе мономера, а также в водной среде носит гетерофазный характер. Из-за низкой подвижности макрорадикалов в твердой фазе затруднено их взаимод. и, следовательно, мала скорость обрыва полимерной цепи; в то же время константы скорости инициирования и роста цепи остаются такими же, как в гомог. среде. Поэтому с увеличением кол-ва поливинилхлорида возрастает и общая скорость полимеризации (автокаталитич. процесс). Скорость р-ции увеличивается до степени превращ. мономера 60-70%, затем начинает уменьшаться из-за его исчерпания. Тепловой эффект р-ции 92,18 кДж/моль, энергия активации ок. 83,80 кДж/моль. Степень полимеризации в значит, мере зависит от т-ры, что объясняется склонностью винилхлорида к р-ции передачи цепи. Т-ра полимеризации оказывает нек-рое влияние и на степень кристалличности поливинилхлорида. При т-рах от -10 до 20 0C получают поливинилхлорид с повыш. синдиотактичностью и т. стекл. до 1050C.
Пром. произ-во поливинилхлорида (в т. ч. и в СССР) осуществляют тремя способами: 1) суспензионная полимеризация по периодич. схеме. Винилхлорид, содержащий 0,02-0,05% по массе инициатора (напр., ацилпероксиды, диазосоединения), интенсивно перемешивают в водной среде, содержащей 0,02-0,05% по массе защитного коллоида (напр., метилгидроксипропилцеллюло-за, поливиниловый спирт). Смесь нагревают до 45-65 0C (в зависимости от требуемой мол. массы поливинилхлорида) и заданную т-ру поддерживают в узких пределах с целью получения однородного по мол. массе поливинилхлорида. Полимеризация протекает в каплях винилхлорида, в ходе ее происходит нек-рая агрегация частиц; в результате получают пористые гранулы поливинилхлорида размером 100-300 мкм. После падения давления в реакторе (степень превращения винилхлорида ок. 85-90%) удаляют непрореагир. мономер, поливинилхлорид отфильтровывают, сушат в токе горячего воздуха, просеивают через сита и расфасовывают. Полимеризацию проводят в реакторах большого объема (до 200 м3); новые произ-ва полностью автоматизированы. Уд. расход винилхлорида 1,03-1,05 т/т поливинилхлорида. Преимущества способа: легкость отвода тепла р-ции, высокая производительность, относит. чистота поливинилхлорида, хорошая совмещаемость его с компонентами при переработке, широкие возможности модификации св-в поливинилхлорида путем введения разл. добавок и изменения параметров режима.
2) Полимеризация в массе по периодич. схеме в две ступени. На первой винилхлорид, содержащий 0,02-0,05% по массе инициатора, полимеризуют при интенсивном перемешивании до степени превращ. ок. 10%. Получают тонкую взвесь частиц ("зародышей") поливинилхлорида в мономере, к-рую переводят в реактор второй ступени; сюда же вводят дополнит. кол-ва мономера и инициатора и продолжают полимеризацию при медленном перемешивании и заданной т-ре до степени превращения винилхлорида ок. 80%. На второй ступени происходит дальнейший рост частиц поливинилхлорида и их частичная агрегация (новых частиц не образуется). Получают пористые гранулы поливинилхлорида с размерами 100-300 мкм в зависимости от т-ры и скорости перемешивания на первой ступени. Незаполимеризовав-шийся винилхлорид удаляют, поливинилхлорид продувают азотом и просеивают. Порошок сыпуч и легко перерабатывается. Преимущества перед суспензионным способом: отсутствие стадий приготовления водной фазы, выделения и сушки поливинилхлорида, в результате уменьшаются капиталовложения, энергозатраты и расходы на обслуживание. Недостатки: затруднены отвод тепла р-ции и борьба с коркообразованием на стенках аппаратуры; образующийся поливинилхлорид неоднороден по мол. массе, его термостойкость ниже, чем у поливинилхлорида, полученного первым способом.
3) Эмульсионная полимеризация по периодич. и непрерывной схеме. Используют р-римые в воде инициаторы (H2O2, персульфаты), в качестве эмульгаторов - ПАВ (напр., алкил- или арилсульфаты, сульфонаты). Радикалы зарождаются в водной фазе, содержащей до 0,5% по массе инициатора и до 3% эмульгатора; затем полимеризация продолжается в мицеллах эмульгатора. При непрерывной технологии в реактор поступают водная фаза и винилхлорид. Полимеризация идет при 45-600C и слабом перемешивании. Образующийся 40-50%-ный латекс с размерами частиц поливинилхлорида 0,03-0,5 мкм отводится из ниж. части реактора, где нет перемешивания; степень превращения винилхлорида 90-95%. При периодич. технологии компоненты- (водная фаза, винилхлорид и обычно нек-рое кол-во латекса от предыдущих операций, т. наз. затравочный латекс, а также др. добавки) загружают в реактор и перемешивают во всем объеме. Полученный латекс после удаления винилхлорида сушат в распылит. камерах и порошок поливинилхлорида просеивают. Хотя непрерывный процесс высокопроизводителен, преимущество часто отдается периодическому, ибо им можно получить поливинилхлорид нужного грануломет-рич. состава (размеры частиц в пределах 0,5-2 мкм), что очень важно при его переработке. Эмульсионный поливинилхлорид значительно загрязнен вспомогат. в-вами, вводимыми при полимеризации, поэтому из него изготовляют только пасты и пластизоли (см. ниже пластикат).
Суспензионной полимеризацией в мире производится не менее 80% всего поливинилхлорида, двумя др. способами-по ~10%.
Поливинилхлорид перерабатывают всеми известными методами переработки пластмасс (см. Полимерных материалов переработка)как в жесткие (винипласт), так и в мягкие, или пластифицированные (пластикат), материалы и изделия (см. табл.).
ОСНОВНЫЕ СВОЙСТВА ВИНИПЛАСТА И ПЛАСТИКАТА
| Показатель | Винипласт | Пластикат | ||
| Плотн., г/см3 | 1,35-1,43 | 1,18-1,30 | ||
| Прочность, MПа | | | ||
| при растяжении | 40-70 | 10-25 | ||
| при сжатии | 60-160 | 6-10 | ||
| при статич. изгибе | 70-120 | 4-20 | ||
| Относит.удлинение, % | 5-40 | 20-44 | ||
| Твердость по Бринеллю, МПа | 110-160 | - | ||
| Модуль упругости при растяжении, МПа | 2600-4000 | 7-8 | ||
| Уд. ударная вязкость для пластин толщиной 4 мм с надрезом (радиус 1 мм), кг/см · см2 | 7-15 | - | ||
| Теплопроводность, Вт/ (м·К) | 0,16-0,19 | 0,12 | ||
| Уд. теплоемкость, кДж/ (кг · К) | 1,05-2,14 | 1,47 | ||
| Температурный коэф. линейного расширения, 0C -1 | (50-80)·10 -6 | (100-250)·10 -6 | ||
| Уд. объемное электрич. сопротивление (при 200C), Ом·см | 1014-1015 | 109-1014 | ||
| Тангенс угла диэлектрич. потерь (при 50 гц) | 0,01-0,02 | 0,1 | ||
| Диэлектрич. проницаемость (при 50 гц) | 3,1-3,5 | 4,2-4,5 | ||
| Электрич. прочность (200C), МВ/м | 15-35 | 25-40 | ||
| Водопоглощение за 24 ч (20 0C), % | | | ||
| материал на основе поливинилхлорида, полученного методами 1 и 2 | до 0,1 | 0,05-0,7 (до 1,5) | ||
| материал на основе поливинилхлорида, полученного методом 3 | до 0,6 | до 5 | ||
Винипласт-продукт переработки поливинилхлорида, содержащего след, добавки: 1) гл. обр. термостабилизаторы - акцепторы HCl (соед. Pb, Sn, оксиды и соли щел.-зем. металлов), а также иногда эпоксидир. масла, орг. фосфиты; антиоксиданты фенольного типа; светостабилизаторы (производные бензо-триазолов, кумаринов, бензофенонов, салициловой к-ты, сажа, TiO2 и др.); 2) смазки (парафины, воски и др.; вводят для улучшения текучести расплава); 3) пигменты или красители; 4) минер. наполнители; 5) эластомер (напр., сополимер акрилонитрил - бутадиен -стирол или этилен-винилацетат в кол-ве 10-15% по массе; для повышения ударной вязкости). Композицию тщательно перемешивают в смесителях и перерабатывают в экструдерах или на вальцах. Винипласт выпускают в виде листов, плит, труб, прутков, погонажно-про-фильных материалов, а также гранул, из к-рых экструзией или литьем под давлением формуют разл. изделия. Винипласт легко поддается мех. обработке, сваривается и склеивается. Его используют как конструкционный коррозион-ностойкий материал для изготовления хим. аппаратуры и коммуникаций, вентиляц. воздуховодов, труб, фиттингов, а также для покрытия полов, облицовки стен, тепло- и звукоизоляции (пенополивинилхлорид), изготовления плинтусов, оконных переплетов и др. строит. деталей. Из прозрачного винипласта изготовляют объемную тару для пищ. продуктов, бутылки и др.
Пластикат-продукт переработки поливинилхлорида, содержащего помимо компонентов, используемых при получении винипласта, 30-90 мас. ч. пластификатора (напр., эфиров фтале-вой, фосфорной, себациновой или адипиновой к-т, хлорир. парафинов). Пластификатор существенно снижает т-ру стеклования поливинилхлорида, что облегчает переработку композиции, снижает хрупкость материала и повышает его относит. удлинение. Однако одновременно снижаются прочностные и диэлектрич. показатели, хим. стойкость. Пластикат перерабатывают преим. в виде паст и пластизолей (дисперсии эмульсионного поливинилхлорида в пластификаторе); выпускают в виде гранул или лент, листов, пленок (см. Пленки полимерные). Используют его гл. обр. для изготовления изоляции и оболочек для электропроводов и кабелей, для произ-ва шлангов, линолеума и плиток для полов, материалов для облицовки стен и обивки мебели, погонажно-профильных изделий, искусств. кожи. Прозрачные гибкие трубки из пластиката применяют в системах переливания крови и жизнеобеспечения в мед. технике. Поливинилхлорид с повыш. теплостойкостью, производимый в небольших кол-вах, используют для произ-ва волокна (см. Поливинилхлоридпые волокна).
Мировое произ-во поливинилхлорида составляет более 12 млн. т/год (1982). Наиб. крупные производители поливинилхлорида: США, Япония, СССР, ФРГ, Италия, Франция, Великобритания, ГДР.
Полимеризация винилхлорида под действием света впервые изучена Э. Бауманом в 1872; первый пром. синтез поливинилхлорида осуществлен в Германии в 1930 эмульсионной полимеризацией винилхлорида.
Лит.: Энциклопедия полимеров, т. 1, M., 1972, с. 439-54, 464-66; т. 2, M., 1974, с. 609-13; Encyclopedia of PVC, ed. by L. J. Nass, v. 1, N.Y.-Basel, 1976.
И. Б. Котляр.