Ниацин
НИАЦИН (витамин РР, от англ. pellagra preventing -предупреждающий пеллагру), группа биологически активных соед., включающая никотиновую кислоту и ее производные. Наиб. распространены в природе сама к-та и ее амид, обладающие одинаковой витаминной активностью.

Н и к о т и н о в а я к-та (мол. м. 123,11; ф-ла I, R = OH)-бесцв. кристаллич. в-во, т. пл. 236-237 °С. Водный р-р имеет максимумы поглощения при 261,5 нм (e = 3,1•103 при рН 5,6) и 385 нм. Н и к о т и н а м и д (мол. м. 122,13; I, R = NН2)- бесцв. кристаллич. в-во, т. пл. 128-131 °С; хорошо раств. в воде и этаноле, плохо-в хлороформе, ацетоне и эфире. Для водного р-ра максимумы поглощения при 261,5 нм (e = 2,85.103 при рН 5,72) и 300 нм. Оба соед. весьма устойчивы при хранении и выдерживают нагревание в водных р-рах при 120°С. В р-рах к-т и щелочей никотинамид превращ. в никотиновую к-ту.
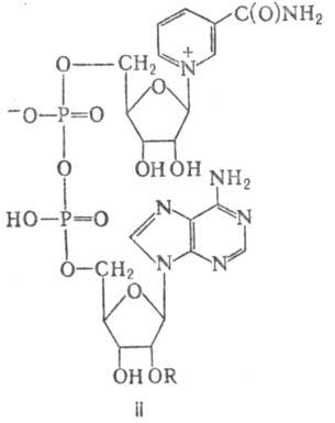
Биол. роль никотиновой к-ты и никотинамида обусловлена их участием в биосинтезе никотинамидных коферментов (коферментных форм ниацина): н и к о т и н а м и д а д е н и н-н у к л е о т и д а (НАД; II, R = Н) и н и к о т и н а м и д а д е н и н д и н у к л е о т и д ф о с ф а т а [HАДФ; II, R = PO(OH)2].

НАД и НАДФ - коферменты многочисленных (более 100) де-гидрогеназ, функционирующих на начальных этапах биол. окисления самых разнообразных соед.: углеводов, аминокислот, жирных к-т и др. Среди них ферменты гликолиза (глицеральдегидфосфатдегидрогеназа, лактатдегидрогеназа), пентозофосфатного цикла окисления углеводов (глюкозо6-фосфат-дегидрогеназа, 6-фосфоглюконатдег идрогеназа), цикла трикарбоновых к-т (малат- и изоцитратдегидрогеназы) и др.
В катализируемых этими ферментами окислит.-восстано-вит. р-циях НАД и НАДФ играют роль промежут. акцепторов и переносчиков электронов и атомов водорода. Механизм переноса сводится к обратимому восстановлению пиридинового кольца в молекуле никотинамидных кофер-ментов, напр.:

В результате таких р-ций НАД и НАДФ переходят в восстановленное состояние - НАДН и НАДФН. Когда последние выступают в качестве доноров электронов и протона, эти превращ. протекают в обратном направлении. Образование НАД(Ф)Н осуществляется стереоспецифично.
Функцион. различие между двумя коферментными формами состоит в том, что НАДН, как правило, служит поставщиком электронов в цепь биол. окисления, сопряженного с окислительным фосфорилированием, т. е. с процессами аккумуляции энергии в форме АТФ; НАДФН служит доно-ром водорода при биосинтезе жирных к-т и стеринов с участием ацетил-кофермента А; восстановит. аминировании кетокислот с образованием из них аминокислот (напр., глутаминовой к-ты из a-кстоглутаровой); восстановлении рибозы до дезоксирибозы; образовании восстановленных форм фолиевой к-ты (ди- и тетрагидрофолата; см. Фолацин); восстановлении глутатиона и метгсмоглобина; в разл. р-циях гидроксилирования и др. Кроме того, никотинамид-ным коферментам принадлежит важная роль в генерировании Н+ при секреции соляной к-ты в желудке.
Наряду с коферментными ф-циями, выполняемыми в составе дегидрогеназ, НАД является также аллостерич. регулятором (регуляторные ф-ции обусловлены воздействием на участки фермента, не входящие в активный центр) активности ряда ключевых ферментов энергетич. обмена; донором остатка адениловой к-ты при репарации (восстановлении) разрывов фосфодиэфирных связей в цепях ДНК, осуществляемой ДНК-лигазой; регулятором синтеза и репликации (самовоспроизведении) ДНК и др.
Биосинтез никотинамидных коферментов осуществляется в организме человека и животных из никотиновой к-ты и никотинамида с участием АТФ. В своб. виде никотиновая к-та и никотинамид в животных тканях присутствуют в незначит. кол-ве. Почти весь присутствующий в организме ниацин находится в виде остатка никотинамида, включенного в состав молекул никотинамидных коферментов. Конечные продукты обмена ниацина в организме, в виде к-рых они гл. обр. выводятся с мочой,-N-метилникотиновая к-та (тригонел-лин), никотинилглицин (никотинуровая к-та), N-метилнико-тинамид, N-оксид никотинамида и др.
В отличие от большинства др. витаминов ниацин может частично образовываться в организме в результате эндогенного синтеза из триптофана. При этом из 60 мг L-трипто-фана образуется 1 мг никотиновой к-ты. Потребность человека (и животных) в этом витамине принято выражать в ниациновых эквивалентах: 1 такой эквивалент равен 1 мг никотиновой к-ты или 60 мг L-триптофана. Кол-во ниацина, образующегося в организме человека, невелико, и основная его часть должна поступать с пищей. Потребность здорового человека в ниацине составляет 6,5 мг на 1000 ккал (4187 кДж) энергозатрат или 15-25 мг никотиновой к-ты в сутки. Потребность в витамине возрастает при тяжелой физич. работе, беременности и кормлении, приеме нек-рых лек. ср-в (напр., сульфаниламидных препаратов, антибиотиков).
При недостаточном поступлении в организм ниацина наблюдаются вялость, апатия, быстрая утомляемость, головокружение, бессонница, сердцебиение, бледность и сухость кожи, пониж. сопротивляемость к инфекц. заболеваниям. При глубоком дефиците ниацина развивается пеллагра - тяжелое заболевание с поражением желудочно-кишечного тракта, кожи, центр. и периферич. нервной системы.
Для профилактики ниациновой недостаточности проводится обогащение муки никотиновой к-той (вместе с витаминами B1 и В2). Источником ниацина для человека служат мясо (4-18 мг на 100 г продукта), печень (7-47), крупы (напр., в гречневой 4), хлеб грубого помола. Очень высоко содержание ниацина в дрожжах (в сухих пекарских 25-50, в сухих пивных 34-93) и сушеных грибах. Овощи более бедны ниацином (0,5-2,5). Также мало ниацина в молоке (0,1-0,5), но с учетом содержания триптофана оно является хорошим источником ниациновых эквивалентов. В растит. продуктах значит. доля ниацина представлена никотиновой к-той, в продуктах животного происхождения-никотинамидом, остаток к-рого входит в состав молекул никотинамидных коферментов. Консервирование, замораживание и сушка мало влияют на содержание ниацина в пищ. продуктах. Тепловая обработка (варка, жарение) снижают его содержание на 15-20%.
Никотиновую к-ту (и никотинамид после его гидролиза до никотиновой к-ты) определяют колориметрически по окрашиванию, образующемуся при ее взаимод. с бромцианом и ароматич. амином (напр., с анилином), а также микробиологически - с помощью Lactobacillus arabinosus. НАД и НАДФ определяют флуориметрически по флуоресцирующему соед., образующемуся при их взаимод. в щелочной среде с ацетоном или метилэтилкетоном. Восстановленные формы кофермента м.б. определены спектрофотометри-чески по характерному интенсивному поглощению при 340 нм. Раздельное определение НАД и НАДФ осуществляют с использованием очищенных апоферментов алко-гольдегидрогеназы, к-рая активна в присут. НАД и НАДН, и глюкозо-6-фосфат-дегидрогеназы, к-рая функционирует только в присут. НАДФ и НАДФН.
Ниацин, чаще всего в форме никотинамида, входит в состав большинства поливитаминных препаратов, к-рые используют для профилактики полигиповитаминозов и оптимизации витаминной обеспеченности разл. групп населения.
О пром. получении ниацина см. Никотиновая кислота.
Лит.: Халмурадов А. Г., в кн.: Экспериментальная витаминология, Минск, 1979, с. 411-37; Hankes L. V., в кн.: Handbook of vitamins. Nutritional, biochemical and clinical aspects, N.Y.-Basel, 1984, p. 329-78. В.Б. Спиричев.