II. Циклические соединения
21. Для наименования циклических соединений широко применяются тривиальные названия, и многие из них приняты как основные в систематических номенклатурах.
Наиболее полно номенклатура циклических соединений разработана в правилах IUPAC 1957. Ниже приведены лишь некоторые сведения, главным образом о старых способах наименования циклических систем, которые встречаются до сих пор.
22. В основу названий алициклических соединений положены названия насыщенных циклических углеводородов СnН2n, общее систематическое название которых — циклоалканы. Их называют также циклопарафинами; по старой номенклатуре эти углеводороды называли полиметиленами; триметилен, тетраметилен, пентаметилен, гексаметилен и т. д. — по числу метиленовых групп (—СН2—) в кольце:




Непредельные алициклические углеводороды с двойной связью (циклоалкены) называют также циклоолефинами.
23. Моноциклические терпены рассматривают как производные 1-метил-4-изопропилциклогексана, иначе называемого ментаном; углеродные атомы в нем нумеруют следующим образом:

Названия производных ментана образуются по общим правилам например: ментен-1; ментадиен-1,3; ментанол-3 и т. д.
В химии терпенов, стероидов и некоторых других соединений сохранился старый способ обозначения двойных связей греческой буквой Δ (дельта), причем цифрой (показателем) указывают номер углеродного атома, за которым следует двойная связь. Например;

В двух последних случаях показатели 4(8) и 1(7) указывают, что двойная связь находится между 4 и 8 углеродными атомами (она могла бы быть между 4 и 5) и между 1 и 7 (она могла бы быть между 1 и 2). В скобках помещается больший порядковый номер.
24. Бициклшеские терпены рассматривают как производные следующих бициклических углеводородов:




или схематично:

По одному из способов нумерации атомы в этих углеводородах обозначают как показано в формулах. Названия производных этих углеводородов образуются в соответствии с общими принципами, например карен, пинен, пиненгликоль, камфанол, камфанон и т. д.
Правила IUPAC 1957 рекомендуют несколько иной способ написания формул карана, пинана и камфана и, соответственно, другой принцип нумерации атомов; название камфан заменяется названием борнан:



Hop-структуры этих углеводородов:



25. Названия спироциклических соединений (спиранов или спироцикланов), представляющих собой систему с двумя циклами, имеющими только один общий (узловой) атом (спироатом), производят от числа углеродных атомов, входящих во всю циклическую систему с добавлением приставки спиро-. Например:



В квадратных скобках цифрами указано число углеродных атомов, связанных с узловым атомом в каждом из циклов. По одному из способов нумеруют вначале атомы меньшего, затем большего цикла, последним обозначают общий атом. По номенклатуре IUРАС 1957 нумеруют вначале все атомы меньшего цикла, включая и общий атом, а затем атомы большего цикла.
Соединения ряда бензола
26. Простейший ароматический углеводород С6Нб имеет тривиальное название бензол. Все остальные углеводороды этого ряда могут быть названы как замещенные производные бензола, или имеют свои тривиальные названия. При этом по традиции, установившейся в русском языке, почти все тривиальные названия гомологов бензола также имеют окончание -ол. Например: С6Н5СН3 — метилбензол, или толуол; С6Н4(СН3)2 — диметилбензол, или ксилол; С6Н5СН(СН3)2 — изопропилбензол, или цимол. Как исключение С6Н3(СН3)3 — 1, 3, 5-триметилбензол имеет название мезитилен. По правилам IUPАС 1957 (а также по Женевской и Льежской номенклатурам) все названия ароматических углеводородов характеризуются окончанием -ен. Соответственно: бензен, толуен, ксилен, цимен, стирен и т. д.
27. Взаимное расположение двух или более радикалов (а также и других групп) в бензольном ядре часто обозначается специальными символами:
для двузамещенных:



для трехзамещенных с одинаковыми заместителями:



для четырехзамещенных с одинаковыми заместителями:



28. Наличие нефункциональных заместителей азотсодержащих функциональных групп и фенольных гидроксилов в производных бензола и его гомологов обозначается соответствующими приставками, а в основу берутся тривиальные названия углеводородов. Наличие сульфогруппы и карбоксильных групп указывается как обычно окончаниями -сульфокислота и -карбоновая кислота. Когда общее число заместителей в бензольном ядре не превышает двух — применяются символы орто-, мета- и пара-; в остальных случаях положение заместителей обозначается цифрами. При этом нет общепринятых правил нумерации атомов бензольного ядра. По Женевской номенклатуре номер 1 присваивают тому атому ядра, несущему замещающую группу, с которым непосредственно связан атом-заместитель с наименьшим атомным весом (например, при наличии в ядре —Сl и —ОН номер 1 получает атом, несущий —ОН, но при наличии —NO2 и —ОН — атом, несущий —NO2); в замещенных производных гомологов бензола начало нумерации определяет простейшая боковая цепь. По Льежской номенклатуре номер 1 присваивают атому ядра, несущему главную функциональную группу, причем этот номер в названии часто только подразумевают и не указывают. Ниже сопоставлены различные названия некоторых замещенных бензола и его гомологов:









Многоядерные ароматические системы с конденсированными ядрами
29. Правилами номенклатуры IUPAC 1957 установлен перечень названий, положенных в основу номенклатуры конденсированных многоядерных карбоциклических систем, правила ориентации их формул и порядок нумерации атомов
Употребляются также следующие обозначения греческими буквами положений в нафталине и антрацене:


Двузамещенные производные нафталина обозначают следующим образом:









30. Номенклатура гетероциклических соединений вследствие их многообразия связана с многими трудностями. Для большинства из них сохраняются тривиальные и полутривиальные названия. Наиболее подробно систематическая номенклатура гетероциклов разработана в правилах IUPAC 1957. Ниже приведены некоторые дополнительные сведения об общеупотребительных тривиальных названиях гетероциклических соединений и обозначении положений в гетероциклах.
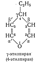
31. Наряду с нумерацией атомов для 5- и 6-членных гетероциклов приняты буквенные обозначения α-, β-, γ-, как показано ниже; наличие радикала при азоте иногда обозначают символом N:




32. Для метилированных производных тиофена и пиридина распространены тривиальные названия (тиотолен и тиоксен для производных тиофена и пиколин и лутидин для производных пиридина):










