Химическая переработка углеводородов нефти
Нефть долгое время применялась только в качестве топлива. В небольших масштабах производилась разгонка ее с отбором легкокипящей фракции — бензина, находившего лишь ограниченное применение, средних фракций — керосина и осветительных масел и, наконец, тяжелых фракций — смазочных масел и вазелинов. Нефтяные остатки от перегонки — мазут — опять-таки применялись как топливо. С развитием применения двигателей внутреннего сгорания и их специализацией (авто- и авиамоторы, тракторные двигатели, судовые двигатели и т. п.) возрастала потребность в легкокипящих видах топлива, которые не могли быть получены в достаточном количестве простой разгонкой нефти. Кроме того, возникла необходимость выпуска специальных видов топлива, вообще не получающихся из нефти без химической переработки входящих в нее углеводородов.
В настоящее время нефтеперерабатывающая промышленность должна производить высокооктановые бензины для четырехтактных двигателей, высокоцетановое тяжелое топливо для дизелей, высококалорийное горючее для реактивных двигателей, высококачественные смазочные материалы для быстроходных машин и целый ряд продуктов для химической промышленности (бензол, толуол, циклогексан, бутадиен, низшие олефины и т. д.).
Одним из основных приемов переработки нефти и ее дистиллятов является так называемый крекинг. Это — процесс расщепления высших углеводородов на углеводороды с меньшим молекулярным весом, сопровождающийся процессами частичной полимеризации, дегидрирования, циклизации, изомеризации и т. п. Крекинг ведут при 450—550° С под давлением 7—35 ат, пропуская исходный нефтепродукт через обогреваемые снаружи трубы (термический крекинг). Кроме процессов термического крекинга, применяется каталитический крекинг. Здесь катализатором может служить хлористый алюминий (Н. Д. Зелинский); в настоящее время применяются также различные алюмосиликаты.
Главными преимуществами каталитического крекинга по сравнению с термическим являются: большой выход бензинов и их высокое октановое число, попутное удаление серы из нефтепродуктов (обессеривание) и более ценный состав газов крекинга (больше пропана и бутана, меньше метана и этана). Правда, при каталитическом крекинге требуется периодическая регенерация катализатора, загрязняемого отлагающимся на нем коксом, однако тепло, выделяющееся при выжигании кокса, не теряется, а используется для поддержания высокой температуры процесса крекинга. Между тем в термическом крекинге для ведения процесса при достаточно высокой температуре расходуется ценное топливо.
Возникший за последние два десятилетия огромный спрос на бензины с высоким октановым числом вызвал к жизни целую группу технических процессов каталитического облагораживания (риформинг) низкооктановых бензинов. Риформинг проводится с применением платиновых и окисных катализаторов. В процессе риформинга происходят различные превращения углеводородов, входящих в состав бензинов. Парафины изомеризуются в более разветвленные и частично крекируются. Циклогексаны дегидрируются в ароматические углеводороды, а циклопентаны сначала превращаются с расширением цикла в циклогексаны, которые далее дегидрируются. Одновременно происходит обессеривание бензина.
Среди процессов риформинга наиболее важное место занимают в настоящее время гидроформинг и платформинг. Гидроформинг проводится в атмосфере водорода на окисных катализаторах. При платформинге используются катализаторы, содержащие немного платины (менее 1%), отложенной на носителе, обладающем кислотными свойствами (окись алюминия, алюмосиликаты).
При громадных масштабах переработки нефти каталитическим крекингом и риформингом огромное значение приобретает вопрос о регенерации катализатора. Для осуществления обоих процессов как непрерывных с одновременной регенерацией катализатора предложено два пути: схемы с движущимся слоем катализатора и схемы с неподвижным слоем.
В схемах с движущемся слоем катализатора последний применяется либо в виде крупных зерен, либо в виде пыли. В первом случае слой катализатора медленно продвигается в реакционной камере, затем поступает в камеру регенерации и, пройдя через нее, возвращается в реакционную камеру. Самая ранняя из предложенных схем этого типа получила название термофор-процесса. В схемах, в которых применяется пылевидный катализатор, его подают в реакционную камеру взвешенным в парах перерабатываемого нефтепродукта или вдувают струей газа. В восходящем потоке жидкого нефтепродукта, протекающего через реакционную камеру, образуется тонкая взвесь катализатора. Такой процесс называется процессом в псеедоожиженном слое или флюид-процессом. Поскольку слой катализатора по виду напоминает кипящий, очень распространено также название процесс в кипящем слое.
Непрерывный процесс с неподвижным слоем катализатора (например, процесс Гудри) представляет собой в сущности периодический процесс, проводимый в двух (или более) реакционных камерах. Пока в одной из них идет каталитический процесс, в другой происходит регенерация катализатора. Когда активность катализатора в первой камере снижается, а регенерация его во второй камере заканчивается, камеры переключают.
Первоначально указанные выше схемы были разработаны для каталитического крекинга, а впоследствии были применены (с заменой катализатора) и для каталитического риформинга.
Процессы, протекающие при действии высоких температур на высшие углеводороды, все еще мало изучены. Более изучены эти процессы для низкомолекулярных углеводородов. Здесь можно считать установленным образование при действии высоких температур алифатических свободных радикалов (Райс).
Так, например, при крекинге этана можно ожидать следующих реакций:

Действительно, при крекинге этана наблюдается образование этилена, метана, водорода, пропана, бутана и продуктов их дегидрогенизации. Таким образом, при этом процессе, кроме расщепления, идут и реакции синтеза.
При крекинге пропана аналогичным образом может происходить образование пропилена, этилена, метана и высших углеводородов:

и т. д.
Для крекинга низкомолекулярных углеводородов такие схемы процессов превращения наиболее вероятны. Здесь образование радикалов (метила и этила) доказано с несомненностью методом переноса металлических зеркал (см. ниже). При крекинге больших молекул первичный распад заключается, вероятно, не в отщеплении радикала СН3, а в расщеплении всей молекулы на сравнительно крупные осколки. Непосредственное отщепление атомарного водорода маловероятно, так как связь С—Н прочнее связи С—С.
Рассматривая сложные вещества, мы часто называем радикалами те или иные произвольно взятые группы взаимно связанных между собой атомов, входящих в состав этих веществ. Мы говорим, например, что спирты жирного ряда можно рассматривать как соединения алифатических радикалов с гидроксильным радикалом и т. п. Однако всегда, когда можно было бы ожидать образования таких радикалов в свободном виде, химики получали продукты их удвоения, т е. соединения друг с другом (реакции Вюрца—Фиттига, Кольбе).
Учение о постоянстве четырехвалентности углерода, послужившее фундаментом теории строения, как раз и постулировало невозможность существования как устойчивых веществ частиц, содержащих трех- или двухвалентный углерод. Существование радикалов вроде метила или этила стало вообще счи таться невозможным. Лишь открытие М. Гомбергом (1900) диссоциации гексафенилэтана, приводящей к частичному образованию трифенилметильных радикалов, и последующие работы В. Шленка и А. Е. Чичибабина, которым удалось получить более сложные триарилметилы почти нацело в мономерном состоянии, убедили органиков в том, что в особых условиях такие сложные свободные радикалы могут все же существовать.
Доказать возможность кратковременного существования простейших алифатических свободных радикалов удалось лишь в 1929 г. Панету. Он пропускал через кварцевую трубку при остаточном давлении 1—2 мм рт. ст. пары тетраметилсвинца, сильно разбавленные чистым водородом, со скоростью 15— 20 м/сек. При нагревании газовой горелкой узкого участка трубки пары тетраметилсвинца разлагались, оставляя кольцеобразное зеркало металлического свинца, а образующиеся метильные радикалы уносились газовым потоком дальше. Если дать образовавшемуся зеркалу принять температуру, близкую к комнатной, и начать накаливать горелкой участок трубки, лежащий раньше зеркала (по ходу газов), то разложение тетраметилсвинца приведет здесь к образованию нового зеркала и в то же время ранее полученное холодное зеркало будет исчезать. Это исчезновение обусловлено взаимодействием свободных метальных радикалов с металлом:

Метильные радикалы, образующиеся при термическом разложении металлоорганических соединений, могут взаимодействовать не только со свинцом, но и с цинком, сурьмой, теллуром, ртутью, нанесенными в виде зеркала или тонкого налета. Во всех этих случаях при взаимодействии радикалов с металлом образуются соответствующие летучие металлоорганические соединения, например со ртутью — диметилртуть:

Пары диметилртути можно сконденсировать в приемнике, охлаждаемом жидким воздухом, и, обработав конденсат бромной ртутью, получить хорошо кристаллизующееся, обладающее четкой температурой плавления смешанное ртутноорганическое соединение:

Это доказывает присутствие в газовом потоке именно метильных радикалов.
Если взять достаточно длинную трубку, то можно при данной линейной скорости газового потока найти, на каком расстоянии от места нагрева холодное зеркало уже перестает сниматься. Определив это расстояние, можно найти полупериод существования свободных метильных радикалов, который оказывается равным около 0,002 сек.
Разложением тетраэтилсвинца Рb(С2Н5)4 можно получить свободный этил, способный существовать также лишь короткое время.
Попытки обнаружить методом Панета образование высших алифатических радикалов, пропильного или бутильного, показали, что при повышенных температурах они еще менее устойчивы, чем метил и этил. По-видимому, пропильный радикал весьма быстро распадается на этилен и метильный радикал:

Аналогично идет превращение и бутильных радикалов.
Установлено, что при термическом разложении алифатических диазосоединений образуется метиленовый радикал СН2. Например, при разложении диазометана CH2N2 в условиях, аналогичных условиям разложения тетраметилсвинца, газовый поток приобретает способность снимать налеты сурьмы, мышьяка и селена; налеты свинца, цинка и кадмия метиленовыми радикалами не снимаются. С теллуром метиленовые радикалы образуют характерное, очень трудно летучее темно-красное соединение (СН2Те)x.
Исчезновение свободных радикалов в газовом потоке, спустя короткое время после их образования, и превращение их в устойчивые продукты может происходить в результате рекомбинации радикалов

или их диспропорционирования:

Встречаясь с более сложными молекулами, свободные радикалы могут отнимать у них более слабо связанные атомы водорода и образовывать новые радикалы:

Алифатические радикалы образуются в процессах термического разложения многих органических соединений — в первую очередь углеводородов (крекинг и пиролиз нефти и т. п.), при разложении перекисных соединений и т. д.
Образование и существование свободных радикалов возможно не только в газовой фазе, но и в жидкой, где их присутствие может быть доказано рядом косвенных методов.
В настоящее время все отчетливее выясняется роль и значение радикалов в инициировании и продолжении множества химических процессов, которые были бы вообще, по-видимому, невозможны без их участия.
Крекинг позволяет в ряде случаев получить из нефти вдвое больше бензинов, чем при простой разгонке. Одновременно при этом получается много так называемых газов нефтекрекинга состоящих из продуктов более глубокого расщепления углеводородов нефти. Эти газы содержат, наряду с низшими предельными углеводородами парафинового ряда, много олефинов и являются в настоящее время важнейшим сырьем для промышленности основного органического синтеза (производства этанола, изопропилового спирта, ацетона, дихлорэтана, дивинила, фенола и других многочисленных исходных продуктов для изготовления пластмасс, синтетических каучуков, химических волокон и др.).
Значительная часть газов крекинга нефти используется для синтеза жидких углеводородов, в частности высокооктановых компонентов моторного топлива (изооктана, неогексана, триптана, алкилированных бензолов и т. п.). Для превращения газовых фракций, содержащих непредельные углеводороды С3 и С4, в жидкие углеводороды применяют процессы полимеризации, чаще всего каталитической. Полимеризация может проводиться в жидкой фазе (см., например, полимеризацию изобутилена) или в газовой фазе над фосфатными катализаторами при 200—250° С и давлении около 20 ат.
Путем полимеризации пропилена можно получить 2,3-диметилбутен-1:

Смесь изобутилена и пропилена дает 4,4-диметилпентен-1:

и т. п.
Для получения жидких углеводородов могут быть использованы также содержащиеся в газах крекинга нефти парафиновые углеводороды, перерабатываемые методом алкилирования олефинами.
Алкилированию подвергаются преимущественно парафины с третичными атомами углерода. Установлено, что нормальные парафины с неразветвленной цепью при повышенных температурах в присутствии катализаторов превращаются в более стойкие изомеры с разветвленной цепью. Особенно легко идет изомеризация над хлористым алюминием:

Алкилирование предельных углеводородов, содержащих третичные атомы углерода, можно прозодить непосредственно под высоким давлением (до 350 ат) при 500° С. Этим путем можно, например, получить неогексан (2,2-диметилбутан) — углеводород с октановым числом 94:

Легче совершается каталитическое алкилирование. В присутствии 98%-ной серной кислоты или жидкого фтористого водорода алкилирование идет при комнатной температуре или даже при 0° С под небольшим давлением. Из изобутана и бутена-1
можно получить этим путем октан с сильно разветвленной цепью (2,2,3-триметилпентан):

Другой октан с сильно разветвленной цепью (2,2,4-триметилпентан, называемый в технике изооктаном) можно получать алкилированием изобутана изобутиленом, а также гидрированием смеси диизобутиленов водородом в присутствии никелевого катализатора или сернистого молибдена.
Важное значение имеют процессы дегидрогенизации предельных газообразных углеводородов. Этан и пропан могут быть этим путем превращены в этилен и пропилен при 600—650° С (катализаторами служат окислы тяжелых металлов, осажденные на окиси алюминия); бутан может быть в одну или в две стадии превращен в дивинил:
СН3—СН2—СН2—СН3 → СН3—СН2—СН=СН2 → СН2=СН—СН=СН2
Крекинг нефти, проводимый при более высоких температурах (пиролиз), приводит к образованию значительных количеств ароматических углеводородов. Впервые образование ароматических углеводородов при пиролизе нефти для получения «нефтяного» газа установили А. А. Летний (1878) и В. В. Руднев (1880). Пиролиз под давлением — метод, получавший впоследствии широкое распространение, — был предложен и осуществлен впервые инженером А. Никифоровым (1896). Создателем весьма совершенных технических конструкций крекинг-установок явился замечательный советский инженер-конструктор академик В. Г. Шухов.
В настоящее время ароматические углеводороды стремятся получать более эффективными методами, чем пиролиз. Так, путем дегидрогенизации содержащиеся в нефтях циклопарафины с шестичленным кольцом могут быть превращены в ароматические углеводороды, например:

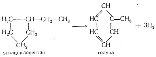
Из производных циклопентана, содержащихся в больших количествах в некоторых нефтях, также могут получаться производные бензола (с расширением цикла и дегидрогенизацией):

Наконец, парафиновые углеводороды могут замыкаться в шестичленные кольца и, теряя водород, превращаться в ароматические углеводороды. Путем такой дегидроциклизации (ароматизации) из нефтяных фракций, содержащих н-гептан, можно получать фракции, содержащие толуол (Б. А. Казанский. А. Ф. Платэ; Б. Л. Молдавский, Г. Д. Камушер; 1936):

Процессы этого типа протекают над катализаторами, содержащими некоторые металлы или окислы.
В области химии нефти и современных технологических путей ее переработки громадную роль сыграли исследования русских химиков. Начало этим исследованиям положено классическими работами В. В. Марковникова и его учеников: М. И. Коновалова, Н. М. Кижнера, А. М. Беркенгейма. Выдающимися успехами ознаменовались работы Н. Д. Зелинского и его учеников, в первую очередь Б. А. Казанского и С. С. Наметкина. Должны быть отмечены также работы А. Д. Петрова.