Поверхностно-активные вещества
ПОВЕРХНОСТНО-АКТИВНЫЕ ВЕЩЕСТВА, в-ва, адсорбция к-рых из жидкости на пов-сти раздела с др. фазой (жидкой, твердой или газообразной) приводит к значит. понижению поверхностного натяжения (см. Поверхностная активность). В наиб. общем и важном с практич. точки зрения случае адсорбирующиеся молекулы (ионы) ПАВ имеют дифильное строение, т. е. состоят из полярной группы и неполярного углеводородного радикала (дифильные молекулы). Поверхностной активностью в отношении неполярной фазы (газ, углеводородная жидкость, неполярная пов-сть твердого тела) обладает углеводородный радикал, к-рый выталкивается из полярной среды. В водном р-ре ПАВ на границе с воздухом образуется адсорбц. мономолекулярный слой с углеводородными радикалами, ориентированными в сторону воздуха. По мере его насыщения молекулы (ионы) ПАВ, уплотняясь в поверхностном слое, располагаются перпендикулярно пов-сти (нормальная ориентация).
Концентрация ПАВ в адсорбц. слое на неск. порядков выше, чем в объеме жидкости, поэтому даже при ничтожно малом содержании в воде (0,01-0,1% по массе) ПАВ могут снижать поверхностное натяжение воды на границе с воздухом с 72,8·10-3 до 25·10-3 Дж/м2, т.е. практически до поверхностного натяжения углеводородных жидкостей. Аналогичное явление имеет место на границе водный р-р ПАВ - углеводородная жидкость, что создает предпосылки для образования эмульсий.
В зависимости от состояния ПАВ в р-ре условно различают истинно р-римые (молекулярно-диспергированные) и коллоидные ПАВ. Условность такого разделения состоит в том, что одно и то же ПАВ может относиться к обеим группам в зависимости от условий и хим. природы (полярности) р-рителя. Обе группы ПАВ адсорбируются на фазовых границах, т. е. проявляют в р-рах поверхностную активность, в то время как объемные св-ва, связанные с возникновением коллоидной (мицеллярной) фазы, проявляют лишь коллоидные ПАВ. Указанные группы ПАВ отличаются значением безразмерной величины, к-рая наз. гидрофильно-липофильным балансом (ГЛБ) и определяется отношением:

где
-сродство (своб. энергия взаимодействия) неполярной части молекулы ПАВ к углеводородной жидкости (b-безразмерный параметр, зависящий от природы ПАВ,
-своб. энергия взаимод. в расчете на одну группу CH2, v-число групп CH2 в углеводородном радикале), a-сродство полярной группы к воде. Для коллоидных ПАВ (b +
или
, где индексы m соответствуют миним. значениям сродства, при к-ром начинают проявляться коллоидные св-ва ПАВ. Миним. число углеродных атомов в радикале для разных видов коллоидных ПАВ лежит в пределах 8-12, т.е. коллоидные ПАВ имеют достаточно большой углеводородный радикал. Вместе с тем коллоидные ПАВ должны обладать и истинной р-римостью в воде, т.е. полярность гидрофильной группы также должна быть достаточно высокой. Этому соответствует условие:

В нач. 60-х гг. 20 в. Д. Девисом была разработана шкала ГЛБ со значениями от О до 40. ПАВ с липофильными св-вами имеют низкие значения ГЛБ, с гидрофильными-высокие. Каждой группе атомов, входящей в молекулу ПАВ, приписывается групповое число. При сложении этих чисел получают ГЛБ по ф-ле:
ГЛБ =
гидрофильных групповых чисел + 4-
гидрофобных групповых чисел + 7.
Хотя понятие о ГЛБ является достаточно формальным, оно позволяет определять области применения ПАВ. Так, для образования эмульсий вода/масло ГЛБ лежит в пределах 3-6, эмульсий масло/во да-8-16, для смачивателей-7-9, для моющих средств-13-15.
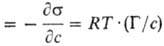
Поверхностная активность ПАВ, относящихся к разным группам, определяется по-разному. Для истинно р-римых ПАВ она равна макс. значению производной


и измеряется по начальному участку изотермы адсорбции s(c)при с
0 (Г-число молей ПАВ, адсорбированных единицей пов-сти, R-газовая постоянная, T-абс. т-ра). Для коллоидных ПАВ поверхностная активность Gмин = (s0 - sмин)/смин, где s0 - поверхностное натяжение чистого р-рителя, sМИH-наименьшее (постоянное) значение s, а смин-соответствующая этому значению концентрация ПАВ. Дальнейшее введение в р-р ПАВ приводит к увеличению числа мицелл, а концентрация молекулярно-диспергированного ПАВ остается постоянной. Величина смин-критич. концентрация мицеллообразования (KKM). Она определяется как концентрация ПАВ, при к-рой в р-ре возникает большое число мицелл, находящихся в термоди-намич. равновесии с молекулами (ионами), и резко изменяются св-ва р-ра (электропроводность, поверхностное натяжение, вязкость, светорассеяние и т.д., см. Мицеллообразо-вание).
Классификация ПАВ. В данной статье описывается классификация, принятая на III Международном конгрессе по ПАВ и рекомендованная Международной организацией по стандартизации (ISO)в 1960. Она основана на хим. природе молекул и включает четыре осн. класса ПАВ: анионактив-ные, катионактивные, неионогенные и амфотерные. Иногда выделяют также высокомол. (полимерные), перфторир. и кремнийорг. ПАВ, однако по хим. природе молекул эти ПАВ м. б. отнесены к одному из вышеперечисл. классов.
Анионактивные ПАВ содержат в молекуле одну или неск. полярных групп и диссоциируют в водном р-ре с образованием длинноцепочечных анионов, определяющих их поверхностную активность. Это группы: COOH(M), OSO2OH(M), SO3H(M), где M-металл (одно-, двух- или трехвалентный). Гидрофобная часть молекулы обычно представлена предельными или непредельными алифатич. цепями или алкилароматич. радикалами. Выделяют 6 групп анионактивных ПАВ.
1) Производные карбоновых к-т (мыла): RCOOM, ROOC (СН2)nСООМ, RC6H4 (СН2)nСООМ, RCH=CH — —(СН2)nСООМ. 2) Первичные и вторичные алкилсульфаты ROSO3M, R'R:CHOSO3M, алкиларилэтилсульфаты RC6H4C2H4OSO3M, алкилциклогексилэтилсульфаты RC6H10C2H4OSO3M и т.п. (см. Авироль, Ализариновое масло, Алкилсульфаты). 3)Алкил- и алкилбензолсульфо-наты, сульфонаты сложных эфиров моно- и дикарбоно-вых к-т: RSO3M, RC6H4SO3M, ROOCCH2SO3M, ROOCCH2CH(COOR)SO3M (см. Алкилбензолсульфонаты, Нафталинсульфонаты, Сульфонаты). 4) Сульфо- и карбокси-этоксилаты спиртов, сульфоэтоксилаты карбоновых к-т, сульфоэтоксилаты алкилфенилэтиловых спиртов, диметал-лич. соли сульфоянтарной к-ты, соли сульфатов непредельных к-т: RO(C2H4O)nSO3M, RO(C2H4O)nCH2COOM, RCOO (C2H4O)n SO3M, RC6H4 (C2H4O)2 SO3M, ROOCCH2CH ·(COOM) SO3M, RCH (OSO3M)=CH (CH2)n—COOM. 5) Азотсодержащие ПАВ: амидосульфонаты RCONR'—R:—SO3M, амиды сульфокарбоновых к-т RR'NOC—R:—SO3M, амидосульфаты RCONR'- R:—OSO3M, амидокарбоксилаты RCO(NH-R'—CO)nOM, в-ва с карбокси- и сульфогруппами RCONH—R—OCOR:(SO3M) —COOM. Вместо амидной группы во мн. таких в-вах м.б. также сульфоамидная группа, напр. RC6H4SO2NHCH2CH2SO3M. 6) Соли перфторир. карбоновых к-т, перфторир. сульфоацетатов, моно- и диалкил-фосфатов и фосфонатов, перфторир. фосфонаты и др. соединения.
В анионактивных ПАВ катион м. б. не только металлом, но и орг. основанием. Часто это ди- или триэтаноламин. Поверхностная активность начинает проявляться при длине углеводородной гидрофобной цепи C8 и с увеличением длины цепи увеличивается вплоть до полной потери р-ри-мости ПАВ в воде. В зависимости от структуры промежут. функц. групп и гидрофильности полярной части молекулы длина углеводородной части может доходить до C18. Бензольное ядро соответствует примерно 4 атомам С, перфто-рированная метиленовая группа CF2-примерно 2,5-3 мети-леновым группам.
Наиб. распространены алкилсульфаты и алкиларилсуль-фонаты. Оптим. поверхностно-активными св-вами обладают первичный додецилсульфат и прямоцепочечный доде-цилбензолсульфонат. Эти в-ва термически стабильны, малотоксичны (ЛД50 1,5-2 г/кг, белые мыши), не раздражают кожу человека и удовлетворительно подвергаются биол. распаду в водоемах (см. ниже), за исключением алкиларил-сульфонатов с разветвленной алкильной цепью. Они хорошо совмещаются с др. ПАВ, проявляя при этом синергизм, порошки их негигроскопичны. Вторичные алкилсульфаты обладают хорошей пенообразующей способностью, но термически неустойчивы и применяются в жидком виде. Вторичные алкилсульфонаты обладают высокой поверхностной активностью, но весьма гигроскопичны. Перспективными являются ПАВ, у к-рых гидрофильная часть состоит из неск. функц. групп. Напр., динатриевые соли сульфоянтарной к-ты обладают хорошими санитарно-гигиенич. св-вами наряду с высокими коллоидно-хим. и технол. показателями при растворении в жесткой воде. ПАВ, содержащие сульфониламидную группу, обладают биол. активностью. Хорошими св-вами обладает также додецил-фосфат.
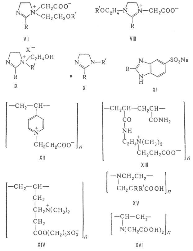
Катионактивными наз. ПАВ, молекулы к-рых диссоциируют в водном р-ре с образованием поверхностно-активного катиона с длинной гидрофобной цепью и аниона-обычно галогенида, иногда аниона серной или фосфорной к-ты. Преобладающими среди катионактивных ПАВ являются азотсодержащие соед.; практич. применение находят и в-ва, не содержащие азот: соед. сульфония [RR'R:S]+X- и сульфоксония [RR'R:SO]+Х-, фосфония [R3PR']+ X-, арсония [R3AsR'] + Х-, иодония (ф-ла I). Азотсодержащие соед. можно разделить на след. осн. группы: 1) амины и их соли RNR'R: · HX; 2) моно- и бисчетвертичные аммониевые соед. алифатич. структуры [RNR'R:R''']+ X-, [RR'2N-R:—NR'2R]2+2Х-, соед. со смешанной алифатич. и ароматич. структурой [RR'2 NC6H4NR'2 R]2 + 2Х- ; 3) четвертичные аммониевые соед. с раз л. функц. группами в гидрофобной цепи; 4) моно- и бисчетвертичные аммониевые соед. с атомом азота в гетероциклич. кольце. Последняя группа объединяет сотни ПАВ, имеющих пром. значение. Важнейшие из них-соед. пиридина, хинолина, фталазина, бензи-мидазола, бензотиазола, бензотриазола, производные пир-ролидина, имидазола, пиперидина, морфолина, пиперазина,
бензоксазина и др.; 5) оксиды аминов RR'R:N+O- (начато пром. произ-во); 6) полимерные ПАВ (II). Применяют в осн. поливинилпиридинийгалогениды.
Катионактивные ПАВ меньше снижают поверхностное натяжение, чем анионахтивные, но они могут взаимод. химически с пов-стью адсорбента, напр. с клеточными белками бактерий, обусловливая бактерицидное действие. Взаимод. полярных групп катионактивных ПАВ с гидроксильны-ми группами волокон целлюлозы приводит к гидрофобиза-ции волокон и импрегнированию тканей.
Неионогенные ПАВ не диссоциируют в воде на ионы. Их р-римость обусловлена наличием в молекулах гидрофильных эфирных и гидроксильных групп, чаще всего по-лиэтиленгликолевой цепи. По-видимому, при растворении образуются гидраты вследствие образования водородной связи между кислородными атомами полиэтиленгликоле-вого остатка и молекулами воды. Вследствие разрыва водородной связи при повышении т-ры р-римость неионогенных ПАВ уменьшается, поэтому для них точка помутнения -верх. температурный предел мицеллообразования- является важным показателем. Mн. соед., содержащие подвижной атом H (к-ты, спирты, фенолы, амины), реагируя с этиленок-сидом, образуют неионогенные ПАВ RO (C2H4O)n H. Полярность одной оксиэтиленовой группы значительно меньше полярности любой кислотной группы в анионактивных ПАВ. Поэтому для придания молекуле требуемой гидро-фильности и значения ГЛБ в зависимости от гидрофобного радикала требуется от 7 до 50 оксиэтиленовых групп. Характерная особенность неионогенных ПАВ-жидкое состояние и малое пенообразование в водных р-рах.
Неионогенные ПАВ разделяют на группы, различающиеся строением гидрофобной части молекулы, в зависимости от того, какие в-ва послужили основой получения полигли-колевых эфиров. На основе спиртов получают оксиэтилиро-ванные спирты RO(C2H4O)nH; на основе карбоновых к-т - оксиэтилированные жирные кислоты RCOO (C2H4O)n H; на основе алкилфенолов и алкилнафтолов - оксиэтилированные алкилфенолы RC6H4O(C2H4O)nH и соед. RC10H6O-— (C2H4O)nH; на основе аминов, амидов, имидазолинов-оксиэтилированные алкиламины RN[ (C2H4O)n H]2, соед. RCONH(C2H4O)nH, соед. ф-лы III; на основе сульфамидов и меркаптанов- ПАВ типа RSO2NC(C2H4O)nH]2 и RS(C2H4O)nH. Отдельную группу составляют проксанолы (п л ю r о н и к и) - блоксополимеры этилен- и пропиленокси-дов НО (C2H4O)x (C3H6O)y (C2H4O)z H, где х, у и z варьируют от неск. единиц до неск. десятков, и проксамины (тетро-ники; ф-ла IV) - блоксополимеры этилен- и пропиленокси-дов, получаемые в присут. этилендиамина. Алкилацетиленгликоли служат основой получения ПАВ типа H(OC2H4)n—OCR'R:C
CCR'R''O (C2H4O)nH; эфиры фосфорной к-ты-типа (RO)2P(O)O(C2H4O)nH; эфиры пентаэритрита-типа V. Неионогенными ПАВ являются продукты конденсации гликозидов с жирными спиртами, карбоновыми к-тами и этиленоксидом. Выделяют также ПАВ группы сорбиталей (твинов, ф-ла VI)-продукты присоединения этиленоксида к моноэфиру сорбитона и жирной к-ты. Отдельную группу составляют кремнийорг. ПАВ, напр. (CH3)3Si [OSi (CH3)2]n—(CH2)3O(C2H4O)mH.
Получение неионогенных ПАВ в большинстве случаев основано на р-ции присоединения этиленоксида при повыш. т-ре под давлением в присут. катализаторов (0,1-0,5% CH3ONa, KOH или NaOH). При этом получается среднеста-тич. содержание полимергомологов, в к-рых молекулярно-массовое распределение описывается ф-цией Пуассона. Индивидуальные в-ва получают присоединением к алкоголятам полигалогензамещенных полиэтиленгликолей. Коллоидно-хим. св-ва ПАВ этого класса изменяются в широких пределах в зависимости от длины гидрофильной полигликолевой цепи и длины цепи гидрофобной части таким образом, что разл. представители одного гомологич. ряда м. б. хорошими смачивателями и эмульгаторами. Поверхностное натяжение гомологов оксиэтилированных алкилфенолов и первичных спиртов при постоянном содержании этиленоксидных групп уменьшается в соответствии с правилом Траубе, т. е. с каждой дополнит. группой CH2 поверхностное натяжение снижается. В оптим. варианте оно может достигать (28-30)· 10-3 Н/м при критич. концентрации мицеллообразования. Мицеллярная масса весьма велика; для твинов, напр., она достигает 1800. Неионогенные ПАВ менее чувствительны к солям, обусловливающим жесткость воды, чем анионактивные и катионак-тивные ПАВ. Смачивающая способность неионогенных ПАВ зависит от структуры; оптим. смачивающей способностью обладает ПАВ разветвленного строения:

Оксиэтилированные спирты C10-C18 с n от 4 до 9и плюро-ники образуют самопроизвольные микроэмульсии масло/вода и вода/масло. Неионогенные ПАВ хорошо совмещаются с др. ПАВ и часто включаются в рецептуры моющих средств.
Амфотерные (амфолитные) ПАВ содержат в молекуле гидрофильный радикал и гидрофобную часть, способную быть акцептором или донором протона в зависимости от рН р-ра. Обычно эти ПАВ включают одну или неск. основных и кислотных групп, могут содержать также и неионоген-ную полигликолевую группу. В зависимости от величины рН они проявляют св-ва катионактивных или анионактивных ПАВ. При нек-рых значениях рН, наз. изоэлектрической точкой, ПАВ существуют в виде цвиттер-ионов. Константы ионизации кислотных и основных групп истинно р-римых амфотерных ПАВ весьма низки, однако чаще всего встречаются катионно-ориентированные и анионно-ориентирован-ные цвиттер-ионы. В качестве катионной группы обычно служит первичная, вторичная или третичная аммониевая группа, остаток пиридина или имидазолина. В принципе вместо N м. б. атомы S, P, As и т. п. Анионными группами являются карбоксильные, сульфонатные, сульфоэфирные или фосфатные группы.
По хим. строению и нек-рому сходству св-в амфолитные ПАВ делят на 5 осн. групп: 1) алкиламинокарбоновые к-ты RNH (CH2)n COOH; алкильный радикал амина обычно нормальный (прямоцепочечный), но если он расположен между аминной группой и карбоксильной, иногда имеет разветвленный характер. К этой же группе относят алкиламино-фенилкарбоновые к-ты RNHC6H4COOH; алкиламинокарбоновые к-ты с первичной, вторичной или третичной аминогруппой RCH (NH2) COOH, RCH (NHR) COOH, R(CH3)NCH2COOH; с промежут. гидроксильной, эфирной, сложноэфирной, амидной или сульфоамидной группой; в-ва с двумя и более амино- и амидогруппами, с несколькими амино- и гидроксильными группами.
2) Алкилбетаины представляют собой наиб, важную группу цвиттер-ионных ПАВ. Их можно разделить на 5 осн. групп: а) алкилбетаины -С-алкилбетаины RCH [N+ (CH3)3] COO- и N-алкилбетаины RN+(CH3)2 СН2СОО- ; б) сульфит-, суль-фо-, сульфат- и фосфатбетаины RN+(CH3)2CH2CH2
RN+(CH3)2CH2CH2
, RC6H4CH2N+(CH3)2CH2CH2
RN+(CH3)2CH2CH(OH)CH2OP
; в) амидобетаины RCONH(CH2)3 N+(CH3)2COO- ; г) оксиэтилированные бетаины RN+[(C2H4O)pH][(C2H4O)gH]CH2COO-; д) др. цвиттер-ионные ПАВ.
3) Производные алкилимидазолинов, в молекулах к-рых анионные и катионные группы имеют примерно одинаковые константы ионизации (ф-лы VII и VIII), где R-алкил C7-C17, R'-H, Na, CH2COOM (M-металл). По структуре и методам синтеза выделяют бетаиновые ПАВ, включающие карбокси-, сульфо-, сульфат- или сульфоэфировую группу [ф-ла IX; R' = (CH2)nCOO-, (CH2)3
, CH2CH(OH)CH2
] и прочие ("небетаиновые") имидазолиновые ПАВ [ф-ла X; R' = CH2COONa, (СН2)2 N (CH2COOH)2, (СН2)2 N= =CHC6H4SO3H, (CH2)2 OSO3H]. Сбалансированность ионизир. групп обеспечивает этим соед. хорошие коллоид-но-хим. и санитарно-гигиенич. св-ва.
4) Алкиламиноалкансульфонаты и сульфаты (AAAC1 и AAAC2 соотв.). Анионно-ориентир. в-ва легко переходят в цвиттер-ионную форму, что позволяет выделять их в чистом виде. Константа ионизации кислотной группы гораздо больше, чем основной, поэтому их применяют в щелочной среде. Однако в случае неск. основных групп и при наличии рядом с кислотной группой др. гидрофильных групп эти в-ва по св-вам и областям применения сходны с амфолитными ПАВ и обладают бактерицидным действием. В зависимости от констант ионизации можно выделить соли AAAC1 RN(R')-R:—SO3M, AAAC2 RN(R')-R: — OSO3M, производные ароматич. аминосульфокислот RR'N—Ar—SO3M, аминосульфонаты с атомом N в гетероциклах (ф-ла XI); аминофосфаты, аминофосфонаты и др. аминосоед.: соед. типа RR'R:P(O)(OH)2, RR'R''OP(O)(OH)2, где R и R'-длинный и короткий углеводородные радикалы, R:-короткий двухвалентный радикал; соед. RN(CH2CH2SO3Na)2. Их отличие-хорошая способность диспергировать кальциевые мыла и устойчивость к солям жесткости воды.
5) Полимерные амфолитные ПАВ: природные (белки, нуклеиновые к-ты и т.п.); модифицированные природные (олигомерные гидролизаты белков, сульфатир. хитин); продукты ступенчатой конденсации аминов, формальдегида, альбумина, жирных к-т; производные целлюлозы, полученные введением карбоксильных и диэтаноламиноэтильных групп; синтетические, в молекулах к-рых сочетаются структурные особенности всех приведенных выше групп амфотер-ных ПАВ (см., напр., ф-лы XII-XVI).
Применение ПАВ. Мировое произ-во ПАВ составляет 2-3 кг на душу населения в год. Примерно 50% производимых ПАВ используется для бытовой химии (моющие и чистящие ср-ва, косметика), остальное-в пром-сти и с. х-ве. Одновременно с ежегодным ростом произ-ва ПАВ соотношение между их применением в быту и пром-сти изменяется в пользу пром-сти.
Применение ПАВ определяется их поверхностной активностью, структурой адсорбц. слоев и объемными св-вами р-ров. ПАВ обеих групп (истинно р-римые и коллоидные) используют в качестве диспергаторов при измельчении твердых тел, бурении твердых пород (понизители твердости), для улучшения смазочного действия, понижения трения и износа, интенсивности нефтеотдачи пластов и т. д. Др. важный аспект использования ПАВ - формирование и разрушение пен, эмульсий, микроэмульсий. Широкое применение ПАВ находят для регулирования структурообразования и устойчивости дисперсных систем с жидкой дисперсионной средой (водной и органической). Широко используются ми-целлярные системы, образуемые ПАВ как в водной, так и в неводной среде, для к-рых важны не поверхностная активность ПАВ и не св-ва их адсорбц. слоев, а объемные св-ва: резко выраженные аномалии вязкости с повышением концентрации ПАВ вплоть до образования, напр. в водной среде, кристаллизац. структур твердого мыла или твердо-образных структур (в пластичных смазках на основе нефтяных масел).

ПАВ находят применение более чем в 100 отраслях народного хозяйства. Большая часть производимых ПАВ используется в составе моющих ср-в, в произ-ве тканей и изделий на основе синтетич. и прир. волокон. К крупным потребителям ПАВ относятся нефтяная, хим. пром-сти, пром-сть строит. материалов и ряд других. Наиб. важные применения ПАВ:
-бурение с глинистыми р-рами и обратимыми эмульсиями вода/масло. Для регулирования агрегативной устойчивости и реологич. характеристик р-ров применяют высо-комол. ПАВ-водорастворимые эфиры целлюлозы, поли-акриламид и др., в эмульсии вводят кальциевые соли прир. и синтетич. жирных к-т (C16-C18 и выше), алкилароматич. сульфонаты, алкиламины, алкиламидоамины, алкилимида-золины;
-повышение нефтеотдачи пластов посредством мицелляр-ного заводнения (оксиэтилированные алкилфенолы и спирты, алкилароматич. сульфонаты);
-антиокислительные, противозадирные и др. присадки в произ-ве минер. масел (мыла синтетич. жирных к-т, нефтяные сульфонаты, оксиэтилир. спирты) и пластич. смазок (производные фенолов, ариламины, алкил- и арилфосфаты);
-регулирование смачивания при флотации железных и марганцевых руд (мыла прир. и синтетич. жирных к-т, высшие алифатич. амины), руд редких металлов (алкиларсо-новые и алкилфосфоновые к-ты, алкилароматич. сульфонаты);
-эмульсионная полимеризация, получение полистирола и др. виниловых полимеров (карбоксиметилцеллюлоза, поливиниловый спирт, мыла синтетич. жирных к-т, алкилсульфа-ты, оксиэтилированные спирты и алкилфенолы);
-произ-во хим. волокон (оксиэтилир. амины и амиды, проксанолы и проксамины, высшие спирты и к-ты);
-мех. обработка металлов: адсорбц. понижение прочности, повышение скоростей резания, строгания, фрезерования (мыла прир. и синтетич. жирных к-т, алкилароматич. сульфонаты, оксиэтилир. спирты и т.д.);
-пром-сть строит. материалов: регулирование мех. и рео-логич. св-в бетонных смесей за счет адсорбц. модифицирования компонентов (эфиры синтетич. жирных к-т, сульфонаты, алкиламины, алкилсульфаты, оксиэтилир. жирные к-ты);
-произ-во синтетических моющих средств;
-улучшение структуры почв, предотвращение эрозионных процессов (ПАВ-полиэлектролиты - продукты неполного гидролиза полиакрилонитрила, продукты амидирова-ния полиакриловой и полиметакриловой к-т, причем в составе полимерной цепи варьируются амидные, циклические имидные, карбоксильные и др. группы).
Биологическое разложение ПАВ. Водные р-ры ПАВ в большей или меньшей концентрации поступают в стоки пром. вод и в конечном счете-в водоемы. Очистке сточных вод от ПАВ уделяется большое внимание, т. к. из-за низкой скорости разложения ПАВ вредные результаты их воздействия на природу и живые организмы непредсказуемы. Сточные воды, содержащие продукты гидролиза полифосфатных ПАВ, могут вызвать интенсивный рост растений, что приводит к загрязнению ранее чистых водоемов: по мере отмирания растений начинается их гниение, а вода обедняется кислородом, что в свою очередь ухудшает условия существования др. форм жизни в воде.
Среди способов очистки сточных вод в отстойниках - перевод ПАВ в пену, адсорбция активным углем, использование ионообменных смол, нейтрализация катионактивными в-вами и др. Эти методы дороги и недостаточно эффективны, поэтому предпочтительна очистка сточных вод от ПАВ в отстойниках (аэротенках) и в естеств. условиях (в водоемах) путем биол. окисления под действием гетеротрофных бактерий (преобладающий род-Pseudomonas), к-рые входят в состав активного ила. По отношению к этому процессу ПАВ принято делить на "мягкие" и "жесткие". К жестким ПАВ относятся нек-рые алкилбензолсульфонаты (напр., тетрапропилбензолсульфонат) и оксиэтилир. изооктилфе-нолы; в настоящее время они практически не производятся. Степень биоокисления т. наз. мягких ПАВ зависит от структуры гидрофобной части молекулы ПАВ: при ее разветвлен-ности биоокисление резко ухудшается. Теоретически биоокисление идет до превращ. орг. в-в в воду и углекислый газ, практич. проблема сводится лишь к времени окисления, т. е. к кинетике процесса. Если окончат. окисление происходит медленно, ПАВ успевает произвести вредное влияние на живые организмы и прир. среду.
При биохим. очистке отработанных р-ров ПАВ окисление ведется в присут. ферментов. С увеличением т-ры скорость окисления увеличивается, но выше 350C ферменты разрушаются. Анионактивные ПАВ адсорбируются на межфазных пов-стях раздела, вследствие чего снижается ферментативный гидролиз жиров, белков и углеводов, приводящий к угнетению жизнедеятельности бактерий.
Механизм биоокисления ПАВ устанавливается путем изучения промежут. продуктов распада. Так, в промежут. продуктах распада алкилбензолсульфонатов обнаружены: алкилбензолсульфонаты с короткой алкильной цепью; суль-фофенилкарбоновые к-ты в среднем с 4 атомами С в цепи; сульфокарбоновые к-ты с 5-6 атомами С; сульфодикарбоно-вые к-ты и сульфокислоты. Это позволяет предположить, что биоразложение начинается с концевой метильной группы. Чем ближе остаток продвигается к бензольному кольцу, тем окисление происходит медленнее. Конечной стадией является распад бензольного кольца на ненасыщ. соед., к-рые окисляются достаточно быстро и полно.
Алифатич. ПАВ окисляются быстрее, чем циклические, причем сульфонаты окисляются труднее, чем сульфаты.
По-видимому, это связано с тем, что сульфаты в воде гидролизуются. Прямоцепочечные первичные и вторичные алкилсульфаты за 1 ч полностью разрушаются в сточных водах. Алкилсульфаты с разветвленной цепью окисляются медленнее, а прямоцепочечные алкилбензолсульфонаты полностью распадаются лишь за 3 сут. Биоразложение катионактивных ПАВ мало изучено, нек-рые исследователи не рекомендуют сбрасывать их в сточные воды.
Рост произ-ва ПАВ привел к появлению крупных предприятий, являющихся локальными источниками загрязнения воды. Высококонцентрир. сточные воды этих предприятий м. б. очищены микробиол. методом, основанным на использовании высокоактивных культур микроорганизмов. Получены штаммы бактерий, разрушающих алкилсульфаты, алкилсульфонаты, алкилбензолсульфонаты, сульфоэтокси-латы и др. Идентифицированы промежут. продукты распада, к-рые являются аналогами прир. в-в, нетоксичны и не оказывают неблагоприятного воздействия на окружающую среду. Один из важных результатов бактериального расщепления - отсутствие среди промежут. продуктов распада в-в с явно выраженной дифильностью молекул. Метод дал положит. результаты для сточных вод, содержащих 500 мг/л ПАВ. Эффективность очистки составила 95-97% за время не более 12 ч. Среди грамотрицат. бактерий обнаружены микроорганизмы (деструкторы), к-рые усваивают ПАВ как питат. субстрат.
Лит.: Коллоидные поверхностно-активные вещества, пер. с англ. под ред. А. Б. Таубмана, 3. H. Маркиной, M., 1966; Физико-химические основы применения поверхностно-активных веществ, Ташкент, 1977; Поверхностно-активные вещества. Справочник, под ред. А. А. Абрамзона и Г. M. Паевого, Л., 1979; Мицеллообразование, солюбилизация и микроэмульсии, пер. с англ., M., 1980; А б r а м з о н А. А., Поверхностно-активные вещества. Свойства и применение, 2 изд., Л., 1981; Успехи коллоидной химии, под ред. И. В. Петрянова-Соколова и К. С. Ахмедова, Ташкент, 1987. С. И. Файнгольд, В. П. Тихонов.